ANIME LIFE - Anju Khanna 1
—Muy bien, muy bien, la siguiente es… Anju Khanna.
Levanto la mano. Hola. Mi nombre es Anju Khanna. Mucho gusto. Hace poco emigré a este país junto con mi familia e ingresé a la preparatoria Ueno; ya dentro de esta institución he decidido unirme a un club o a un equipo deportivo con el fin de interactuar con mis compañeros y compañeras y crear lazos con todos ellos.
O al menos con alguno.
Verás, normalmente crear lazos con los demás está implícito al unirse a un club o equipo deportivo; incluso muchas personas lo logran sin siquiera intentarlo, ya que para ellos es normal interactuar con los demás —oye, niña—. Sin embargo, para mí no es tan sencillo —¡niña!—. Y esto no se debe solamente a que sea introvertida, sino a que me es prácticamente imposible entender a los demás—¡niña, te estoy hablando!—, ya que hay una infinidad de perspectivas con las que se puede ver el mundo, por lo que las probabilidades de que cada persona lo vea desde una perspectiva diferente son extremadamente altas—¡niña, ¿qué no me oyes?!— y las probabilidades de que yo comprenda dicha perspectiva son prácticamente nulas.
Incluso, a veces llego a creer que las personas, a pesar de ser seres racionales, actúan de manera completamente ilógica e irracio—
—¡NIÑA, YA HAZME CASO! —el entrenador me grita con todas sus fuerzas, y todas las demás aspirantes me miran aparentemente extrañadas y confundidas.
—Oh, perdón —le digo y hago una reverencia—. Estaba distraída.
—Pues que no se repita. Y ¿de qué equipo vienes? —me pregunta el entrenador.
—Bueno, en mi país natal he jugado en bastantes equipos, y he recibido invitaciones a jugar en muchos más.
—Wow —dice el entrenador—, aunque la verdad no me sorprende; luego luego se ve que eres buena —él dice con un optimismo que desafía la lógica. ¿Cómo puede decir eso si apenas me conoce? ¿Es por mi complexión delgada? Quizá, pero las demás aspirantes parecen incluso más atléticas que yo, y ninguna de ellas recibió un cumplido así. Además, tener una complexión delgada como la mía no necesariamente significa talento o habilidad deportivas.
¿O sí?
En fin, quizá solo lo dijo por ser amable, pero ¿por qué solo lo fue conmigo? ¿Por qué me da tantas preferencias? ¿Siente algún tipo de atracción hacia mí? Porque, de ser así, no dudaría en denunciarlo con las autoridades correspondientes.
Aunque dar por hecho que es un pervertido sin siquiera conocerlo es bastante grosero de mi parte.
Le pido una disculpa, entrenador.
Pero no descarto la posibilidad de que sea un pervertido.
En fin, ¿qué habrá visto él en mí? ¿Por qué cree que soy buena en básquetbol sin siquiera verme jugar? ¿Por todos los equipos en los que he jugado? ¿Porque soy extranjera? ¿Por qué solo tengo 15 años pero aun así mido 1.88 m de estatura? No lo sé; hay una infinidad de razones posi—
Alguien me empuja.
—Ven —dice una de las aspirantes.
—¿Qué pasa? —pregunto porque todas las aspirantes a mi alrededor se están movilizando.
—¿Cómo que qué? Vamos a jugar para ver quién se queda y quien no en el equipo —dice la aspirante que me empujó.
—Ah, y ¿yo estoy en tu equipo? —le pregunto.
—¿Qué no es obvio? —ella pregunta, y no, no lo es; las probabilidades de estar en el mismo equipo son solo de 50%—. Vamos —ella se va, y yo la sigo
Llegamos a donde está el entrenador, y él nos da a mis probables compañeras de equipo y a mí unas camisetas negras y holgadas probablemente para distinguirnos de las otras aspirantes.
Todas ingresamos a la cancha y nos preparamos para el salto inicial. Debido a mi altura, mis compañeras me miran expectantes, y yo me coloco en el centro de la cancha. Frente a mí se coloca la más alta de mis oponentes.
Pero aun así yo soy mucho más alta que ella.
El entrenador suena el silbato y lanza el balón al aire. Tanto mi contrincante como yo saltamos para tomar el control del balón. Obviamente debido a mi altura y a que salté lo más alto que podía, llegué al balón mucho antes que ella. Lo toco con la punta de los dedos y me preparo a lanzárselo a mis compañeras. Esta es mi oportunidad para demostrarles lo que puedo hacer en la cancha. Quizá si juego bien, entonces ellas confiarán en mí y querrán ser mis amigas, y ya que tenemos el básquetbol en común, podríamos usarlo para crear lazos entre nosotras, y quizá algún día podamos ser amigas, y quizá por fin sea capaz de comprender a los demás, porque todo el mundo excepto yo parece comprender a los demás a la perfección, y ¿por qué solo yo soy diferente? ¿Por qué solo yo soy la única que no puede relacionarse con los demás? No, no puedo ser la única; las probabilidades de que no exista nadie con el mismo problema son prácticamente nulas. Entonces, ¿por qué no he podido encontrar a alguien como yo? ¿Porqué, porqué, porqué, porqué, por—
—¡Fuera! —el balón sale de la cancha. Al parecer estaba tan abstraída en mis pensamientos que lo lancé mucho más fuerte de lo necesario.
—Perdón —les digo a mis compañeras.
—No importa, no importa —dice una ellas, y el juego continúa.
Las contrincantes tienen el balón y se dirigen a nuestro lado de la cancha, pero una de mis compañeras intercepta un pase, y todas nosotras corremos hacia la canasta del equipo contrario. Sin embargo, el equipo contrario es bastante rápido, y nos alcanzan de inmediato. La compañera que tiene el balón está rodeada de contrincantes y le es imposible avanzar.
—Pásame el balón —le digo en un intento de enmendar mi error, y ella obedece.
Esta es mi oportunidad: no debo desperdiciarla; de lo contrario, todas mis compañeras de equipo probablemente me odien por serles un constante estorbo, y quizá el entrenador no me acepte en el equipo por mi pésimo desempe—
—¡Fuera! —el balón sale de la cancha de nuevo. Al parecer estaba tan distraída que el balón pasó de largo frente a mí.
—Perdón —le digo a mis compañeras.
Ellas me ignoran, pero una me dice:
—No te apures —a pesar de estar visiblemente molesta.
Y no entiendo cuál el punto de decir una mentira como esa; si yo pido perdón es porque estoy consciente de que cometí un error que afecta a todo mi equipo, aunque también estoy consciente de que mi disculpa no va a solucionar nada.
Pero aun así le agradezco la amabilidad.
—¡Atrápala! —me grita una de mis compañeras y me lanza el balón.
Esta vez no me distraje y, por ende, logro atraparlo. Lo más prudente que podría hacer en este momento es acercarme a la canasta de equipo contrario para que las probabilidades de que enceste al tirar aumenten considerablemente.
Así que corro hacia la canasta y:
—¡Fuera! —el balón sale de la cancha por tercera ocasión. Al parecer el balón chocó contra mi pie cuanto intenté rebotarlo.
—Perdón —digo, y ninguna de mis compañeras me contesta.
Su reacción es entendible.
—Oye, mejor tú concéntrate en los rebotes —me ordena el entrenador—. Sí haz de ser buena en esos ¿o no? ¿Qué no habías jugado en un montón de equipos? —me pregunta el entrenador, visiblemente exasperado.
—Sí, pero me echaron de todos después de verme jugar —respondí.
—Y ¿por qué no nos dijiste?
—Porque todos los equipos me echaron después de decirles eso —respondo.
El entrenador se lleva las manos a la cara y suspira.
—Rebotes, rebotes. ¿Sí puedes hacerlos o no?
—Pues considerando que el balón acaba de rebotarme en el pie, creo que no —le respondo.
—No, hablo de los rebotes del tablero. Mira: lo único que vas a hacer es ponerte debajo de la canasta, atrapar los balones que caigan y pasárselo a una de tus compañeras. Quien controla los rebotes controla el partido.
Atrapar los balones que caigan. Bueno, es cierto que mi altura me da una innegable ventaja y, si lo pienso detenidamente, la habilidad de atrapar los balones nos da la posibilidad de un contraataque, por lo que sí, quizá con eso podríamos controlar el partido, como dice el entrenador.
Debo investigar más al respecto.
En fin, quizá a esto se refería la gente cuando me decía que era buena en básquetbol.
Muy bien, mi equipo tiene el balón, y yo rápidamente me coloco debajo de la canasta. Una de mis compañeras recibe el balón, esquiva a una contrincante, se acerca a la canasta, tira…
.
.
.
.
.
Y el balón cae lejos de mí.
Bueno, pensándolo bien, es obvio que el balón solo caería justo debajo de la canasta si es que el tirador encesta, por lo que debo colocarme en otro lugar.
Muy bien, lo atraparé en la siguiente ocasión.
![]()
Nuestro equipo tiene el balón de nueva cuenta, así que me coloco donde el balón cayó la vez anterior y espero. Ahora una compañera recibe el balón, intenta esquivar a un contrincante, pero no puede, así que tira…
.
.
.
.
.
.
Y el balón cae justo debajo de la canasta.
Al parecer al tiro le faltó un poco de fuerza, por lo que también existe la posibilidad de que el balón caiga en ese lugar sin que el tirador enceste.
Entonces ¿cómo voy a saber dónde colocarme para recibir al balón?
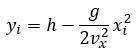
Si lo pienso detenidamente, un tiro a la canasta no es más que el movimiento parabólico de un objeto —en este caso, el balón—, así que, si mal no recuerdo las clases de física, la fórmula para determinar si un tiro entraría a la canasta o no podría ser la siguiente:

Y para determinar todos esos valores puedo utilizar las siguientes ecuaciones:

donde vx o v0 equivale la componente horizontal de la velocidad; vfy, al componente vertical de la velocidad final; g, a la aceleración de la gravedad —9,81 m/s²—; t, al tiempo; h, a la altura de lanzamiento sobre el punto final de llegada; xsmáx, al alcance máximo en el tiro horizontal, y θ, al ángulo de llegada.
Aunque, ¿de dónde voy a sacar los valores de cada variable? Y ¿cómo voy a calcular todo eso mentalmente?
Quizá debería usar una fórmula más simple como:

donde la F es fuerza; la m, masa, y la a, aceleración, y quizá si determino la fuerza por este medio, entonces podré determinar si el tiro tiene pocas o muchas posibilidades de entrar al aro. Muy bien, entonces empecemos por el principio, la F se calcula en Newtons (N) y es de… ¿20 N? ¿100 N? ¿10,000 N? ¿1 N? ¿Cuánta fuerza es 1 N? ¿Mucha? ¿Poca? ¿Alguna vez nos enseñaron eso?
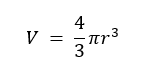
Bueno, como sea, la siguiente variable es la m. ¿Cuánto pesa un balón? Quizá pese poco porque está lleno de aire, y ¿cuánto pesa el aire? Bueno, para determinar eso hay calcular el volumen del balón, y la fórmula para calcularlo es:

Pero ¿cómo voy a calcular eso mentalmente? En fin, mejor debería determinar valores simples y después ver si son útiles o no, como el tiempo. ¿Cuánto tiempo toma un tiro? ¿Cuatro, cinco segundos? Espera, si un tiro solo toma aproximadamente cinco segundos, eso significa que…
Sí, significa que la jugada ya terminó y que todas están del otro lado de la cancha.
—¡Ya muévete, niña! —me grita el entrenador, y corro con todas mis fuerzas. Pero una contrincante roba el balón y corre hacia mi dirección. Sin ninguna dificultad pasa a un lado de mí, y yo la sigo. Corro lo más rápido que puedo, y poco a poco me acerco a ella. Antes de alcanzarla, ella repentinamente tira, pero el balón choca con el tablero y rebota de vuelta; yo salto y lo tomo en el aire. Caigo de pie, y ella se acerca a mí e intenta quitarme el balón, pero levanto los brazos, y ahora a ella le resulta inalcanzable.
Perfecto. Por fin tengo el balón.
Y ahora ¿qué hago?
—Pásamelo, pásamelo —dice una de mis compañeras de equipo. Al parecer ella corría detrás de mí, pero ahora corre hacia la canasta contraría. Y es una buena idea darle un pase a ella, pero ¿qué tan fuerte deberé lanzar el balón? No lo sé; la distancia entre nosotras es cada vez más grande—y ya no voy a perder el tiempo intentando calcularla—, así que lanzo el balón con todas mis fuerzas…
.
.
.
.
.
.
.
.
Y cae justo en el aro, en el otro extremo de la cancha.
.
.
.
.
.
.
.
—¡WOW! ¡¿CÓMO LO HICISTE?! —grita una de mis compañeras, y tanto compañeras como contrincantes se me acercan. Parecen emocionadas y, considerando de que las posibilidades de que haya encestado ese tiro son extremadamente bajas, no las culpo.
Aunque yo quería pasar el balón.
—¡Hazlo otra vez! ¡Hazlo otra vez! —grita una contrincante emocionada, y me da el balón.
—Espera —le pregunto—. Esto no es parte de las reglas. ¿No le deberías pasar el balón a tus compañeras para comenzar con su ofensiva?
—¡Tira! ¡Tira! ¡Tira! —algunas compañeras y contrincantes comienzan a corear.
No creo que esta sea una jugada válida, según las reglas oficiales, pero, considerando que el entrenador no ha dicho nada al respecto, no tengo razón para no hacerlo.
Aunque las probabilidades de encestar por segunda vez desde esta distancia son extremadamente bajas…
.
.
.
.
.
.
.
Pero no son 0: el balón vuelve a caer justo en el aro.
Tanto compañeras como contrincantes celebran mi tiro; algunas se abrazan entre ellas, y otras me abrazan a mí; algunas ríen, y otras me piden que tire de nuevo.
Y esto se siente… bien. ¿Así es como se siente tener amigas? ¿Ellas son mis amigas? Probablemente no ya que la única razón por la que me ven de esa manera es por los dos últimos tiros que encesté.
Aunque si fallo volverán a ignorarme—quizá hasta me odien.
Y las probabilidades de que falle son extremadamente altas.
El entrenador le pasa el balón a una contrincante, y ella me lo da a mí.
—¡Khanna-san! ¡Khanna-san! ¡Khanna-san! —todos están coreando mi nombre.
Bueno, probablemente fallaré este tiro, así que bien puedo despedirme de mi momento de gloria.
A final de cuentas ellas nunca fueron mis amigas en primer lugar.
Y en sí solo voy a volver a estar como al principio: no voy a perder absolutamente nada.
Entonces ¿por qué no quiero fallar por nada del mundo?
Como sea, levanto el balón con ambas manos, tiro…
.
.
.
.
.
Y de nueva cuenta cae justo en el aro.
—¡Khanna-san, Khanna-san! —tanto compañeras como contrincantes comienzan a corear mi nombre.
Pero quizá el hecho de que haya encestado no es tan bueno: si las probabilidades de que enceste desde esta distancia tres veces seguidas son mínimas, las probabilidades de que enceste cuatro veces o más son mucho menores, y entre más veces enceste más se van a convencer todos de que siempre encestaré, por lo que su decepción va a ser mayor cuando falle.
Y voy a fallar —o al menos estoy 99.9999999999% segura de que lo haré.
Quizá su decepción sea tan grande que terminen odiándome, y no las culpo; soy por mucho la peor jugadora de aquí.
—A ver, júntense todas; ya tengo los resultados —dice el entrenador, y todas nos reunimos alrededor de él. Él procede a decir varios nombres de personas que no conozco, y varias de las presentes celebras, mientras que otras se toman de las manos y esperan nerviosas que el entrenador diga sus nombres—. Y Anju Khanna. Las demás mucha suerte para el próximo año.
Algunas de las presentes se abrazan y celebran, mientras que otras se van ya sea tristes o molestas.
Cualquiera de ellas podría ser de mayor utilidad en el equipo que yo.
Quizá no debí venir en primer lugar.
Quizá ellas piensen lo mismo, y quizá me odien por eso.
Y quizá pronto las del equipo se den cuenta y me odien también.
Entonces tengo que hacer algo al respecto, y a pesar de haber infinitas posibilidades de lo que puedo hacer, lo único que se me ocurre por ahora es mejorar en todo lo que soy pésima, así cuando falle un tiro mínimo podré hacer otras cosas para ayudar al equipo.
Básquetbol es un deporte extremadamente complejo; no solo se trata de tirar a la canasta.
—Chicas —dice el entrenador—. Ya vamos a empezar con el entrenamiento, así que para calentar 10 vueltas a la cancha. Vamos, vamos —todas nos dirigimos hacia los extremos de la cancha para comenzar a correr—. Tú no, Khanna-san, tú quédate aquí y practica tiros.
—Está bien —le digo—, considero que lo mejor para mí en estos momentos es practicar todo menos tiros.
—No, eres malísima en eso. Pero no te apures; lo único que vas a hacer es tirar a la canasta y ya.
.
.
.
.
.
.
.
—Me retiro del equipo.
Comments for chapter "Anju Khanna 1"
QUE TE PARECIÓ?